Помогите, пожалуйста, решить, если не сложно с подробным решением. В начале нужно упростить выражение.
Приложения:

Ответы
Ответ дал:
0
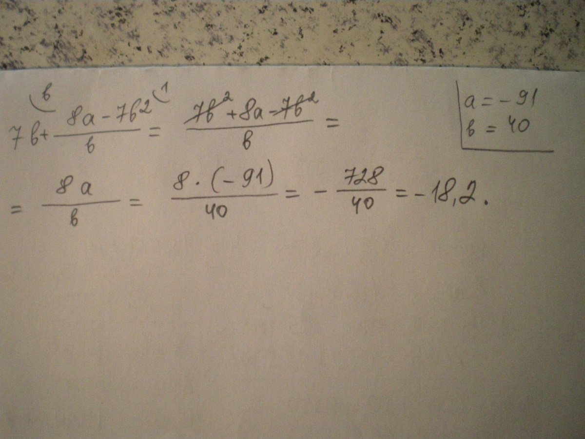
упрощаем и решаем подробно
Приложения:

Ответ дал:
0
Спасибо)
Вас заинтересует
2 года назад
7 лет назад
7 лет назад
10 лет назад
10 лет назад
10 лет назад