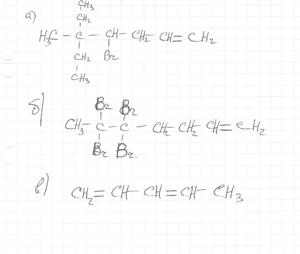
пожалуйста помогите,оч. срочно) заранее большое спасибо)) напишите структурную формулу органических веществ: а) 2,2-диетил 3 бром гексен-5 б) 2,2,3,3-тетрабром гептен-6 в)пентадиен-1,3.
Ответы
C2H5 Br
i i
A) H3C - C - CH - C - C = CH2
i
C2H5
Br Br
Б) i i
H3C - C - C - CH2 - CH2 - CH = CH3
i i
Br Br
В) H2C=CH-CH=CH2-CH3
под буквой а только название вещества не в соотвествии с номенклатурой составлено
