• Предмет: Алгебра
  • Автор: astashinoleg
  • Вопрос задан 10 лет назад

Помогите с решением.

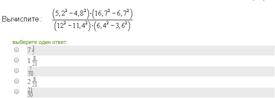
Приложения:

Ответы

Ответ дал: mirsaidmir
0
frac{(5,2-4,8)(5,2+4,8)(16,7-6,7)(16,7+6,7)}{(12-11,4)(12+11,4)(6,4-3,6)(6,4+3,6)}
frac{0,4cdot{10}cdot{10} cdot{23,4}}{0,6cdot{23,4} cdot{2,8} cdot{10}}
frac{0,4cdot 10}{0,6 cdot 2,8}=frac{10}{4,2}=frac{50}{21}
Ответ дал: astashinoleg
0
Mirsaidmir можешь помочь еще с одним?
Ответ дал: mirsaidmir
0
кидай
Вас заинтересует