• Предмет: Алгебра
  • Автор: T6753
  • Вопрос задан 10 лет назад

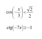
Помогите пожалуйста решить неравенства, очень надо:

Приложения:

Ответы

Ответ дал: Freakazoid
0
cos(-frac{x}{3})  textless   frac{sqrt2}{2}\cosfrac{x}{3}  textless   frac{sqrt2}{2}\frac{pi}{4}+2pi n textless  frac{x}{3} textless  frac{7pi}{4}+2pi n\frac{3pi}{4}+6pi n textless  x textless  frac{21pi}{4}+6pi n, ; nin Z;\\ctg(-7x) geq -1\-ctg7x geq -1\ctg7x leq 1\pi n leq 7x leq frac{pi}{4}+pi n\frac{pi n}{7} leq x leq frac{pi}{28}+frac{pi n}{7}

Приложения:
Вас заинтересует