• Предмет: Алгебра
  • Автор: Аноним
  • Вопрос задан 10 лет назад

Пожалуйста, помогите решить тригонометрическое уравнение.
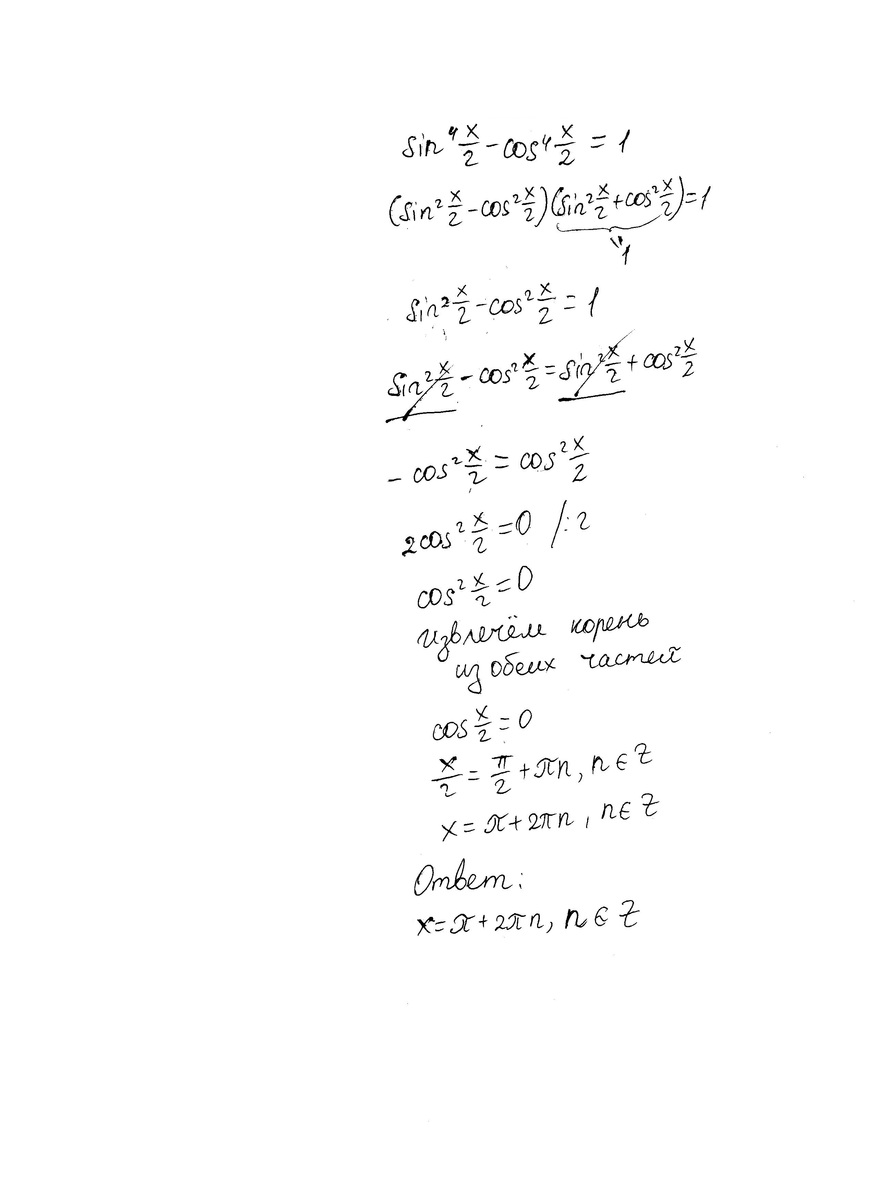
sin^{4}frac{x}{2}-cos^{4}frac{x}{2} = frac{1}{2}

Ответы

Ответ дал: bearcab
0
решение в приложении
Приложения:
Вас заинтересует