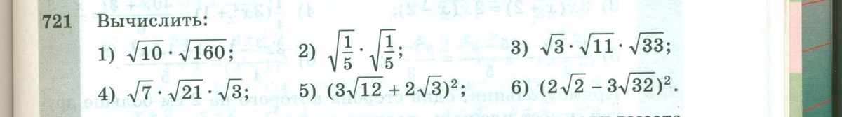
Помогите пажалуйста решеть номер 721 первый пример подробно всё расписать пажалуйста
Приложения:

Ответы
Ответ дал:
0
√10+√160=√(10*160)=√1600=40
Вас заинтересует
2 года назад
7 лет назад
10 лет назад
10 лет назад
10 лет назад