Ответы
Ответ дал:
0
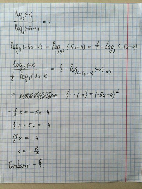
Смотри решение во вложении.
Формулы:

И решение из определения логарифма

из этого следует,что

Формулы:
И решение из определения логарифма
из этого следует,что
Приложения:

Вас заинтересует
2 года назад
2 года назад
7 лет назад
10 лет назад
10 лет назад
10 лет назад