Помогите прошу решить уравнения под буквами Е, Ж. Использовать формулы квадратного уравнения! Отдаю 30 баллов! Срочно )
Приложения:

Ответы
Ответ дал:
0
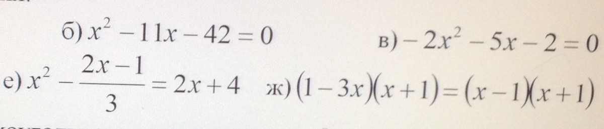
е) x²-(2x-1)/3 = 2x + 4 (умножаем на 3)
3х² - 2х+1 = 6х + 12
3х² - 2х + 1 - 6х - 12 = 0
3х² - 8х - 11 = 0
Д = 64 - 4 * 3 * (-11) = 196
х1 =(8+14) / 2*3 = 22/6 = 3 4/6 = 3 2/3
х2 = (8-14) / 2*3 = -1
ж) (1 - 3х)(х + 1) = (х - 1)(х + 1)
(1 - 3х)(х + 1) - (х - 1)(х + 1) = 0
(х + 1) ( (1 - 3х) - (х - 1)) = 0
(х + 1) (1 - 3х - х + 1) = 0
(х + 1) (2 - 4х) = 0
(х + 1) = 0 или (2 - 4х) = 0
х1 = -1 х2 = 0,5
3х² - 2х+1 = 6х + 12
3х² - 2х + 1 - 6х - 12 = 0
3х² - 8х - 11 = 0
Д = 64 - 4 * 3 * (-11) = 196
х1 =(8+14) / 2*3 = 22/6 = 3 4/6 = 3 2/3
х2 = (8-14) / 2*3 = -1
ж) (1 - 3х)(х + 1) = (х - 1)(х + 1)
(1 - 3х)(х + 1) - (х - 1)(х + 1) = 0
(х + 1) ( (1 - 3х) - (х - 1)) = 0
(х + 1) (1 - 3х - х + 1) = 0
(х + 1) (2 - 4х) = 0
(х + 1) = 0 или (2 - 4х) = 0
х1 = -1 х2 = 0,5
Вас заинтересует
2 года назад
7 лет назад
7 лет назад
10 лет назад
10 лет назад
10 лет назад