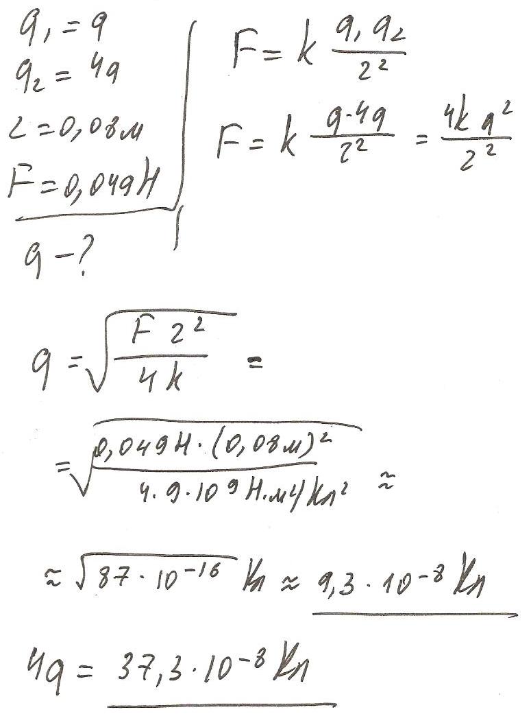
Два точечных заряда, из которых один вчетверо больше другого, в воздухе на расстоянии 8 см друг от друга взаимодействуют с силой 0.049 Н. Какова величина каждого заряда?
Ответы
Ответ дал:
0
надеюсь будет понятно....
Приложения:

Вас заинтересует
2 года назад
2 года назад
8 лет назад
10 лет назад
10 лет назад