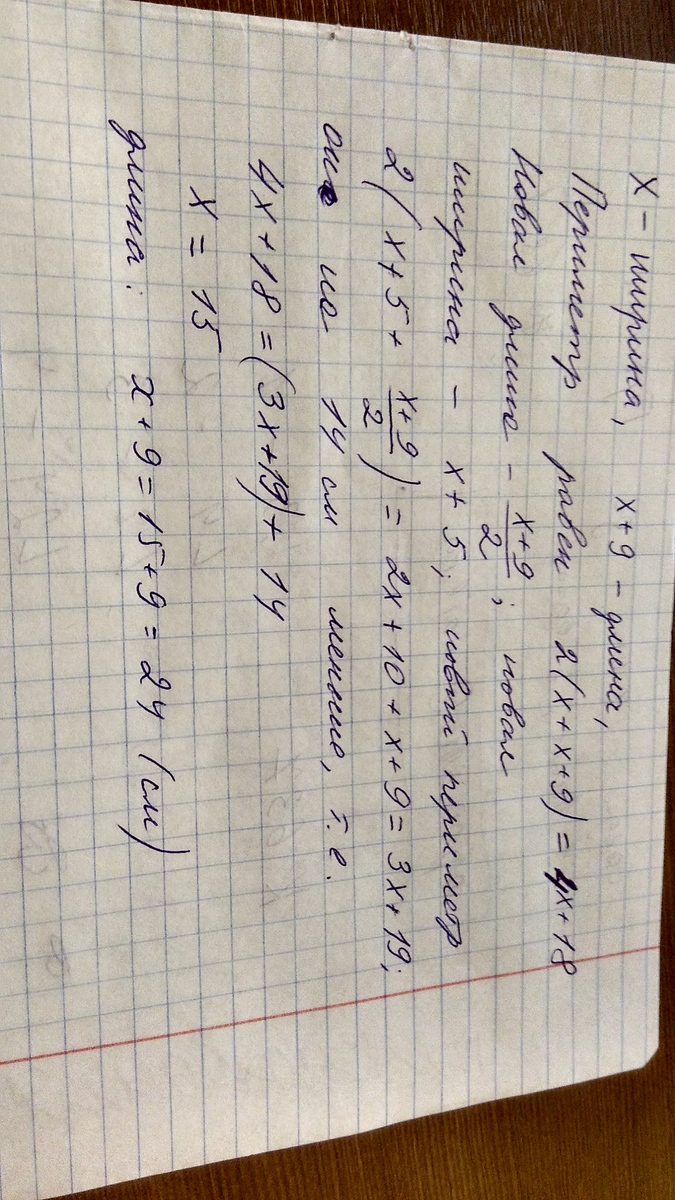
Решите задачу ,составив линейное уравнение: ширина прямоугольника на 9 см меньше его длины. Если его длину уменьшить в 2 раза ,а ширину увеличить на 5 см, то его периметр уменьшится на 14 см .Найдите длину данного прямоугольника.
Срочно решите пожалуйста!!!
Ответы
Ответ дал:
0
24 см, решение в прикрепленном файле
Приложения:

Ответ дал:
0
спасибо
Вас заинтересует
2 года назад
2 года назад
7 лет назад
7 лет назад
10 лет назад
10 лет назад