Ответы
Ответ дал:
0
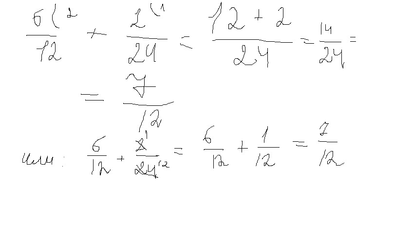
6/12 ЭТО В 24 ПОЛУЧАЕТСЯ 12/24+2/24=14/24
Ответ дал:
0
здесь ещё и сократить надо на 2, получится 77/24. 2 варианта решения- в приложенном мною ниже файле
Ответ дал:
0
решение в приложеном файле
Приложения:

Вас заинтересует
2 года назад
2 года назад
7 лет назад
7 лет назад
10 лет назад
10 лет назад
10 лет назад
10 лет назад