Мотоциклист проехал из А в В за 5 часов.Возвращаясь, он первые 48 кмпроехал с той же скоростью, а за тем увеличил её на 4 км/ч. На обратный путь мотоциклист затратил на 15 минут меньше, чем на путь из А в В. С какой скоростью ехал мотоциклист из А в В.
Ответы
Ответ дал:
0
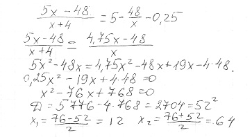
Пусть первоначальная скорость будет х км/ч
Составив уравнение по условию задачи вышло, что возможная скрость была или 12 км/ч или 64 км/ч
Приложения:

Вас заинтересует
2 года назад
2 года назад
8 лет назад
10 лет назад
10 лет назад