Ответы
Ответ дал:
0
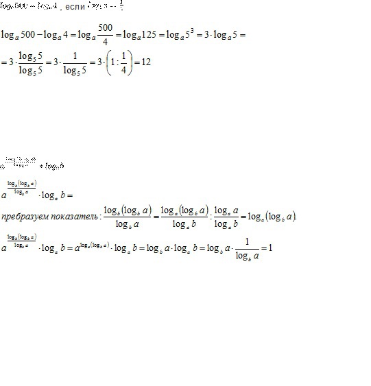
решение во вложении---------------------------
Приложения:

Ответ дал:
0
Спасибо выручили очень))
Ответ дал:
0
успехов Вам
Вас заинтересует
2 года назад
2 года назад
7 лет назад
7 лет назад
10 лет назад
10 лет назад
10 лет назад