Ответы
Ответ дал:
0
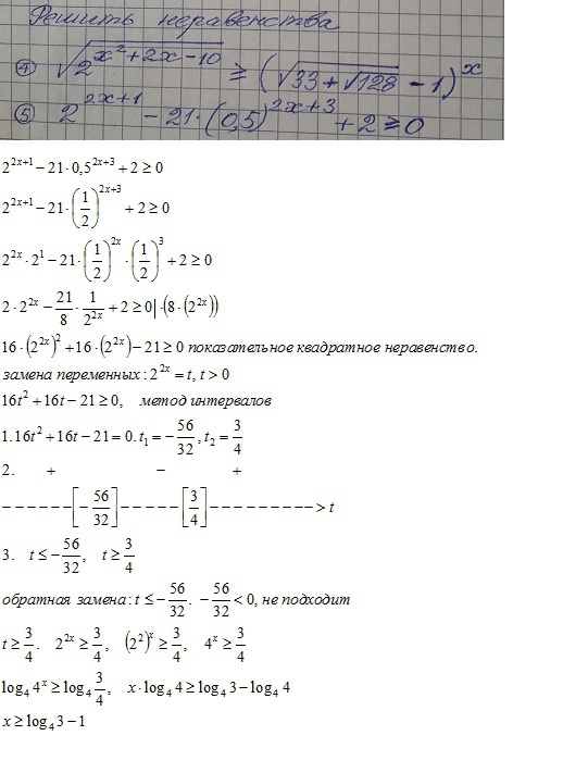
решение во вложении--------------------------
Приложения:
Ответ дал:
0
1



x²+2x-10≥5x
x²-3x-10≥0
x1+x2=3 U x1*x2=-10⇒x1=-2 U x2=5
x∈(-∞;-2] U [5;∞)
x²+2x-10≥5x
x²-3x-10≥0
x1+x2=3 U x1*x2=-10⇒x1=-2 U x2=5
x∈(-∞;-2] U [5;∞)
Приложения:
Вас заинтересует
2 года назад
8 лет назад
8 лет назад
10 лет назад
10 лет назад
10 лет назад
10 лет назад