Ответы
Ответ дал:
0
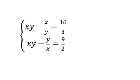
х/у=а
ху=в
а-в=16/3
а-1/в=9/2
в-1/в=27/6-32/6
в*в+5/6в=1
(в*в+5/12)^2=1+25/144=169/144
Два решения в=-5/12+13/12=8/12=1/3 или в=-18/12=-3/2
1) в=1/3
а=17/3, ав=х*х
ху=17/3 х=sqrt(17)/3
y=в/х=sqrt(17)/17
или х=-sqrt(17)/3
у=- sqrt(17)/17
2) в= -3/2
а=16/3-3/2=32/6-9/6=22/6=11/3
Но тогда ав =-11/2<0, что невозможно.
Поэтому ответ:
х=sqrt(17)/3
у=sqrt(17)/17
или
х=-sqrt(17)/3
у=-sqrt(17)/17
ху=в
а-в=16/3
а-1/в=9/2
в-1/в=27/6-32/6
в*в+5/6в=1
(в*в+5/12)^2=1+25/144=169/144
Два решения в=-5/12+13/12=8/12=1/3 или в=-18/12=-3/2
1) в=1/3
а=17/3, ав=х*х
ху=17/3 х=sqrt(17)/3
y=в/х=sqrt(17)/17
или х=-sqrt(17)/3
у=- sqrt(17)/17
2) в= -3/2
а=16/3-3/2=32/6-9/6=22/6=11/3
Но тогда ав =-11/2<0, что невозможно.
Поэтому ответ:
х=sqrt(17)/3
у=sqrt(17)/17
или
х=-sqrt(17)/3
у=-sqrt(17)/17
Вас заинтересует
2 года назад
2 года назад
10 лет назад
10 лет назад
10 лет назад