Ответы
Ответ дал:
0
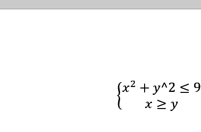
x²+y²≤9
Решение- плоскость круга радиусом 3
y≤x
Решение-полуплоскость ниже прямой у=х
Общее решение-их пересечение.в 1,4 и 3 четверти
Решение- плоскость круга радиусом 3
y≤x
Решение-полуплоскость ниже прямой у=х
Общее решение-их пересечение.в 1,4 и 3 четверти
Вас заинтересует
3 года назад
3 года назад
8 лет назад
8 лет назад
10 лет назад
10 лет назад
11 лет назад