Ответы
Ответ дал:
0
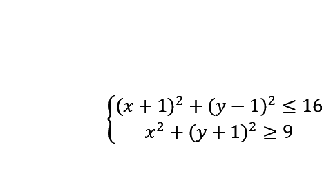
(х+1)²+(у-1)²≤16
Решение плоскость внутри круга радиусом 4
х²+(у+1)²≥9
Плоскость за кругом радиуса 3.
Общее -их пересечение,т.е. та часть плоскости 1 руга,куда не вошла 2.
Решение плоскость внутри круга радиусом 4
х²+(у+1)²≥9
Плоскость за кругом радиуса 3.
Общее -их пересечение,т.е. та часть плоскости 1 руга,куда не вошла 2.
Ответ дал:
0
http://znanija.com/task/16704774
Вас заинтересует
2 года назад
8 лет назад
10 лет назад
10 лет назад
10 лет назад