• Предмет: Алгебра
  • Автор: tumbakov
  • Вопрос задан 11 лет назад

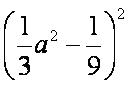
Пробразуйте в многочлен стандартного вида

Приложения:

Ответы

Ответ дал: MarieMarch
0
1/9а4(степень) - 1/54 + 1/81

Вроде так
Вас заинтересует