• Предмет: Алгебра
  • Автор: YanaScherbakova
  • Вопрос задан 11 лет назад

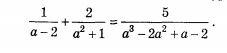
Решите уравнение . Можно не до конца )

Приложения:

Ответы

Ответ дал: MashaKlimova
0

Не до конца? Пожалуйста. Внимательно присмотримся к  третьему знаменателю и для проверки нашей мысли перемножим первые два знаменателя. И получим третий!

То есть, чтобы привести дроби к общему знаменателю достаточно первую дробь умножить на знаменатель второй, вторую на знаменатель первой, а третью дробь вообще ни на что не умножать, тк ее знаменатель и будет общим.

Следовательно уравнение можно переписать в виде:

a^2+1+2(a-2)-5=0

или

a^2+2a-8=0

Решаем это кв. уравнение:

D^2=36

a1=(-2-6)/2=-4

a2=(-2+6)/2=2

А для того, чтобы решить задачу до конца, нужно подставить корни уравнения , т.е. а1 и а2 в знаменатели дробей изначального выражения и доказать, что они не будут равны нулю.

Вас заинтересует