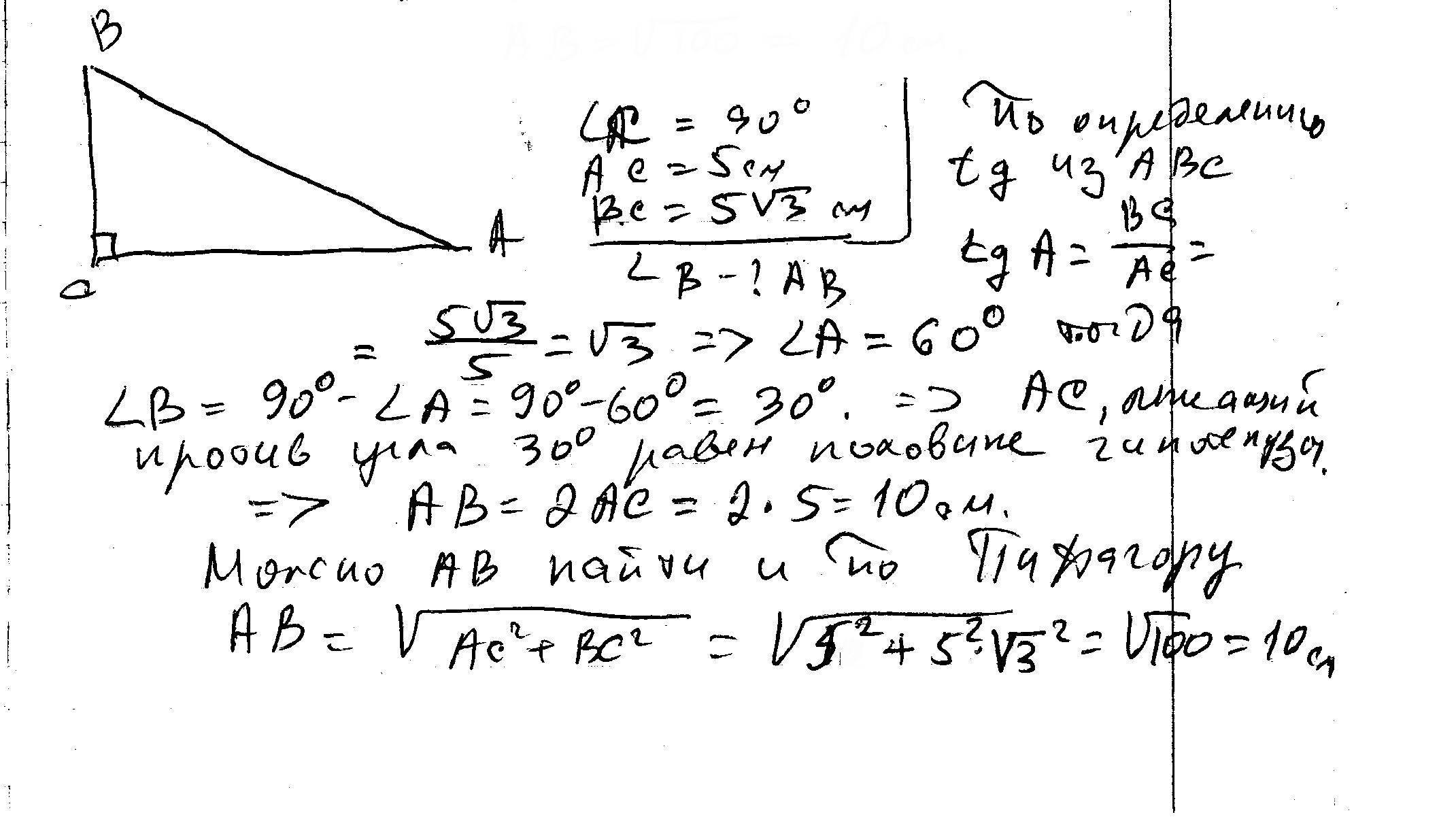
в прямоугольном треугольнике АВС (угол А=90 градусов) АС=5см, ВС=5 корень 3 см. найдите угол В и гипотенузу АВ.
Ответы
Ответ дал:
0
решение в очередной, кажется 8 раз в скане!!!!!!!!!! Пифагор в гробу переворачивается.
Приложения:
Вас заинтересует
3 года назад
3 года назад
8 лет назад
8 лет назад
11 лет назад
11 лет назад
11 лет назад