Ответы
Ответ дал:
0
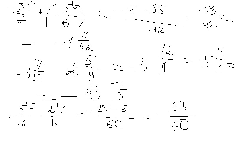
-3/16+(-2 5/16)= -3/16-37/16= -40/16= -5/2= -2 1/2
остальное во вложении
остальное во вложении
Приложения:

Вас заинтересует
2 года назад
7 лет назад
10 лет назад
10 лет назад