Ответы
Ответ дал:
0
Реши систему методом сложения.Сложи уравнения:
x^2-y+x+y=3+3
x^2+x=6
x^2+x-6=0
По Th Виетта:
x1=-3
x2=2
Найдем у1,y2 подставив х1 и х2 во второе уравнение:
y1=3-x1=3-(-3)=6
y2=3-x2=3-1=2
Ответ:(-3;6)
(2;1)
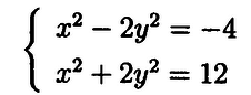
Второе тоже решаем складывая уравнения:
x^2-2y^2+x^2+2y^2=-4+12
2x^2=8
x^2=8/2
x^2=4
x1=2 или x2=-2
Подставляем во второе:
y1^2=(12-x1^2)/2=12-4/2=8/2=4
y2^2=(12-x2^2)/2=12+2/2=14/2=7
Ответ:(2;4)
(-2;7)
x^2-y+x+y=3+3
x^2+x=6
x^2+x-6=0
По Th Виетта:
x1=-3
x2=2
Найдем у1,y2 подставив х1 и х2 во второе уравнение:
y1=3-x1=3-(-3)=6
y2=3-x2=3-1=2
Ответ:(-3;6)
(2;1)
Второе тоже решаем складывая уравнения:
x^2-2y^2+x^2+2y^2=-4+12
2x^2=8
x^2=8/2
x^2=4
x1=2 или x2=-2
Подставляем во второе:
y1^2=(12-x1^2)/2=12-4/2=8/2=4
y2^2=(12-x2^2)/2=12+2/2=14/2=7
Ответ:(2;4)
(-2;7)
Вас заинтересует
3 года назад
3 года назад
10 лет назад
11 лет назад