Ответы
Ответ дал:
0
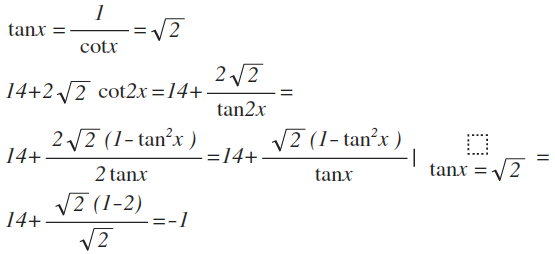
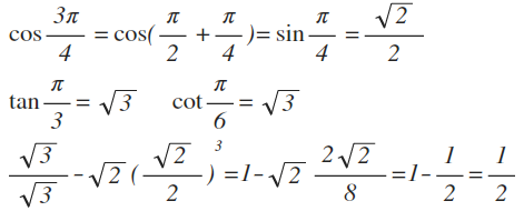
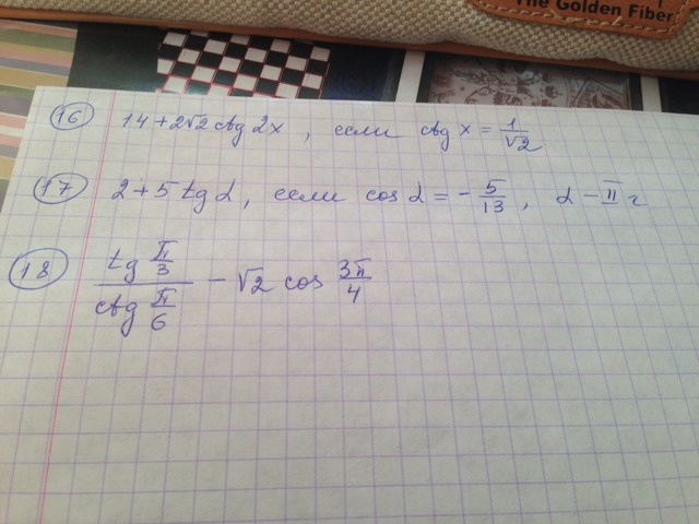
смотри решение во вложении
Приложения:



Вас заинтересует
8 лет назад
8 лет назад
10 лет назад
10 лет назад