• Предмет: Алгебра
  • Автор: mo0vler
  • Вопрос задан 10 лет назад

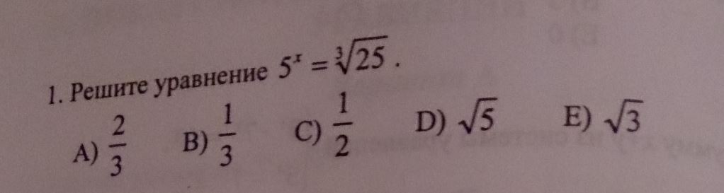
Даю 20 баллов, решите пожалуйста 1 пример, буду очень благодарен вам за помощь!!!

Приложения:

Ответы

Ответ дал: hollowcaust
0
5^x =  sqrt[3]{25}  \ 5^x = 5^{ frac{2}{3} } \ x =  frac{2}{3}
 гони мои 20 баллов с:
Вас заинтересует