Ответы
Ответ дал:
0
если что спрашивай ход решения
Приложения:
Ответ дал:
0
Точно,спасибо
Ответ дал:
0
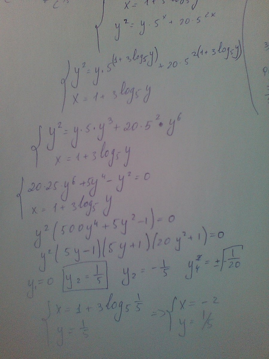
1) используя второе уравнение выразим у через х :
У^2 -у*5^х-20*5^х=0
Дискриминант = 81*5^2х
Отсюда корни у=5^(х+1) и у=-8*5^х второй корень не подходит так как у>0( под логарифмом находится )
2) подставляя в первое уравнение и после преобразований логарифма приходим к линейному уравнению
Х= 1 + 3(х+1)
Откуда х= -2 тогда у = 1/5
(-2; 1/5)
У^2 -у*5^х-20*5^х=0
Дискриминант = 81*5^2х
Отсюда корни у=5^(х+1) и у=-8*5^х второй корень не подходит так как у>0( под логарифмом находится )
2) подставляя в первое уравнение и после преобразований логарифма приходим к линейному уравнению
Х= 1 + 3(х+1)
Откуда х= -2 тогда у = 1/5
(-2; 1/5)
Приложения:
Ответ дал:
0
Спасибо огромное
Вас заинтересует
3 года назад
3 года назад
8 лет назад
8 лет назад
10 лет назад
10 лет назад
10 лет назад