ОЧЕНЬ СРОЧНО!!!!!ОТДАЮ 34 БАЛЛА!!!ПИШИТЕ ПРАВИЛЬНО!!!!!!!!!!!ЭТИ ЗАДАНИЕ РАЗНЫЕ!!И НУЖНО ЧТОБЫ РЕШЕНИЕ БЫЛО ВЕРНЫМ И ОТВЕТ ТОЖ
Приложения:
                    
                            
                            Ответы
                                            Ответ дал: 
                                                                                    
                                        
                                            
                                                
                                                
                                                
                                                    0
                                                
                                            
                                        
                                    
                                        1)
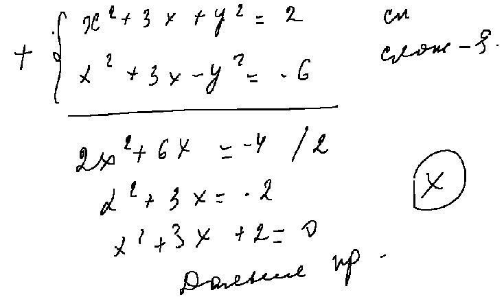
х²+3х+у²=2,
х²+3х-у²=-6
Складываем эти уравнения:
2х²+6х=-4
2х²+6х+4=0 :|2
х²+3х+2=0 по т. Виетта:
Х1+Х2=-3 Х1=-1, Х2=-2
Х1·Х2=2
Подставим значения Х1 иХ2 в первое уравнение и найдём
соответственно У1 иУ2
Х1=-1, Х1=-1, Х1=-1 Х1=-1, Х1=-1, Х1=-1
х²+3х+у²=2 (-1)²+3(-1)+у²=2 1-3+у²-2=0 у²=4 , У1=2 , У1=-2
(-1;2),(-1;-2)
Х2=-2 Х2=-2 Х2=-2 Х2=-2, Х2=-2 ,Х2=-2
х²+3х+у²=2 (-2)²+3(-2)+у²=2 4-6+у²=2 у²=4 У2=2 , У2=-2
(-2;2),(-2;-2)
Ответ: (-1;-2),(-1;2),(-2;-2),(-2;").
2)
18^n+3 / 3^2n+5 ·2^n-2= ( разложим 18 на множители:3²·2)=
(3²·2)^n+3 / 3^2n+5· 2^n-2= 3^2n+6 ·2^n+3 / 3^2n+5 · 2^n-2=( cокращаем)=
при деление степеней показатель делимого вычитаем показатель делителя
3^(2n+6-2n-5) ·2^(n+3-n+2)= 3^1·2^5=3·32=96
^ -показывает - возвести в степень.
                                    
                                        
                                        
                                х²+3х+у²=2,
х²+3х-у²=-6
Складываем эти уравнения:
2х²+6х=-4
2х²+6х+4=0 :|2
х²+3х+2=0 по т. Виетта:
Х1+Х2=-3 Х1=-1, Х2=-2
Х1·Х2=2
Подставим значения Х1 иХ2 в первое уравнение и найдём
соответственно У1 иУ2
Х1=-1, Х1=-1, Х1=-1 Х1=-1, Х1=-1, Х1=-1
х²+3х+у²=2 (-1)²+3(-1)+у²=2 1-3+у²-2=0 у²=4 , У1=2 , У1=-2
(-1;2),(-1;-2)
Х2=-2 Х2=-2 Х2=-2 Х2=-2, Х2=-2 ,Х2=-2
х²+3х+у²=2 (-2)²+3(-2)+у²=2 4-6+у²=2 у²=4 У2=2 , У2=-2
(-2;2),(-2;-2)
Ответ: (-1;-2),(-1;2),(-2;-2),(-2;").
2)
18^n+3 / 3^2n+5 ·2^n-2= ( разложим 18 на множители:3²·2)=
(3²·2)^n+3 / 3^2n+5· 2^n-2= 3^2n+6 ·2^n+3 / 3^2n+5 · 2^n-2=( cокращаем)=
при деление степеней показатель делимого вычитаем показатель делителя
3^(2n+6-2n-5) ·2^(n+3-n+2)= 3^1·2^5=3·32=96
^ -показывает - возвести в степень.
Вас заинтересует
                
                        2 года назад
                    
                
                        7 лет назад
                    
                
                        7 лет назад
                    
                
                        10 лет назад
                    
                
                        10 лет назад
                    
                
                        10 лет назад