из цветочного и солнечного городов выехали одновременно навстречу друг другу Знайка и Незнайка Знайка ехал со скоростью 56 километров в час что составляло 8 одиннадцатых скорости движения Незнайки Через сколько часов после начала движения они встретятся если расстояние между городами равно 532 километров решение 5 класса
Ответы
Ответ дал:
0
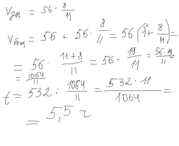
v Знайки= 56* 8/11
v общ= 56+56* 8/11=56* 19/11
t=s/v = 532/ 56*19/11= (532*11)/(56*19) =5.5 часов
v общ= 56+56* 8/11=56* 19/11
t=s/v = 532/ 56*19/11= (532*11)/(56*19) =5.5 часов
Приложения:
Ответ дал:
0
Написать не сложно а учителя ругают
Ответ дал:
0
Я посмотрела!Отстань уже!Чего ты пристала?!
Ответ дал:
0
вот и учись сама, а не готовые ответы в интернете смотри
Вас заинтересует
2 года назад
8 лет назад
8 лет назад
10 лет назад
10 лет назад