• Предмет: Алгебра
  • Автор: MissKrash
  • Вопрос задан 10 лет назад

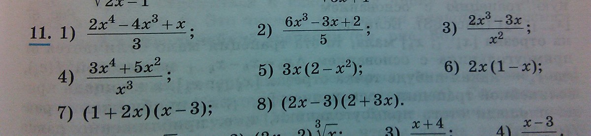
Помогите ,пожалуйста ,номер 11(2,4,6,8).Найти все первообразные

Приложения:

Ответа на этот вопрос пока нет. Попробуйте найти его через форму поиска.

Вас заинтересует