• Предмет: Алгебра
  • Автор: DomnikaMaksimova
  • Вопрос задан 10 лет назад

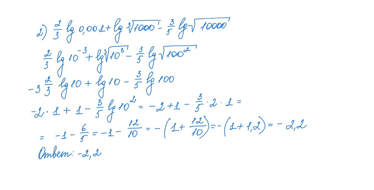
ПОМОГИТЕ РЕШИТЬ ПРИМЕР !!

Приложения:

Ответы

Ответ дал: IgMike
0
Если очень подробно, то так
Приложения:
Вас заинтересует