• Предмет: Алгебра
  • Автор: 12181528
  • Вопрос задан 10 лет назад

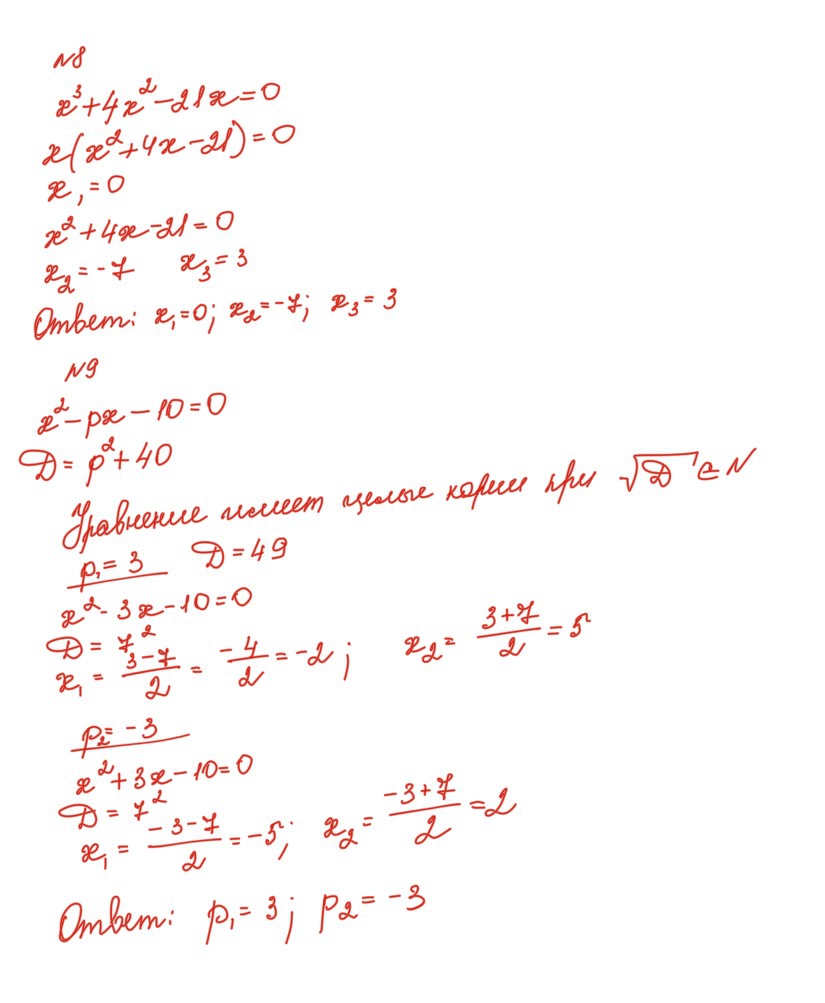
Ребята не могу решить помогите пожалуйста!!

Приложения:

Ответы

Ответ дал: IgMike
0
В последнем рассматриваем только элементарный вариант
Приложения:
Ответ дал: category458
0
Х^3+4х^2-21х=0 х^2=t x^2+4x-21x=0 D=4^2-4*1*(-21)=16+84=100=10^2 t1=-4+10/2=6/2=3 t2=-4-10/2=-14/2=-7 t1=3^2=9 t2=-7^2=49
Приложения:
Вас заинтересует