Ответы
Ответ дал:
0
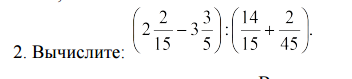
(2 2/15-3 3/5):(14/15+2/45)=-2 19/22
1) 2 2/15-3 3/5=2 2/15-3 9/15=-1 7/15
2) 14/15+2/45=42/45+2/45=44/45
3) -1 7/15:44/45=-42/15:44/45=-42/15*45/44=(-21*3)/22=-63/22=-2 19/22
1) 2 2/15-3 3/5=2 2/15-3 9/15=-1 7/15
2) 14/15+2/45=42/45+2/45=44/45
3) -1 7/15:44/45=-42/15:44/45=-42/15*45/44=(-21*3)/22=-63/22=-2 19/22
Вас заинтересует
3 года назад
8 лет назад
8 лет назад
10 лет назад
10 лет назад
10 лет назад