• Предмет: Алгебра
  • Автор: a2189320
  • Вопрос задан 10 лет назад

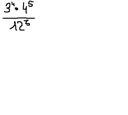
Найдите значение выражения

Приложения:

Ответы

Ответ дал: aish00
0
{12^{9} }{12^{3} } = 1^{6}=1 
Вас заинтересует