• Предмет: Алгебра
  • Автор: Аноним
  • Вопрос задан 10 лет назад

Помогите решить пожалуйста! 2и 4 которые зачёркнуты номера не надо.

Приложения:

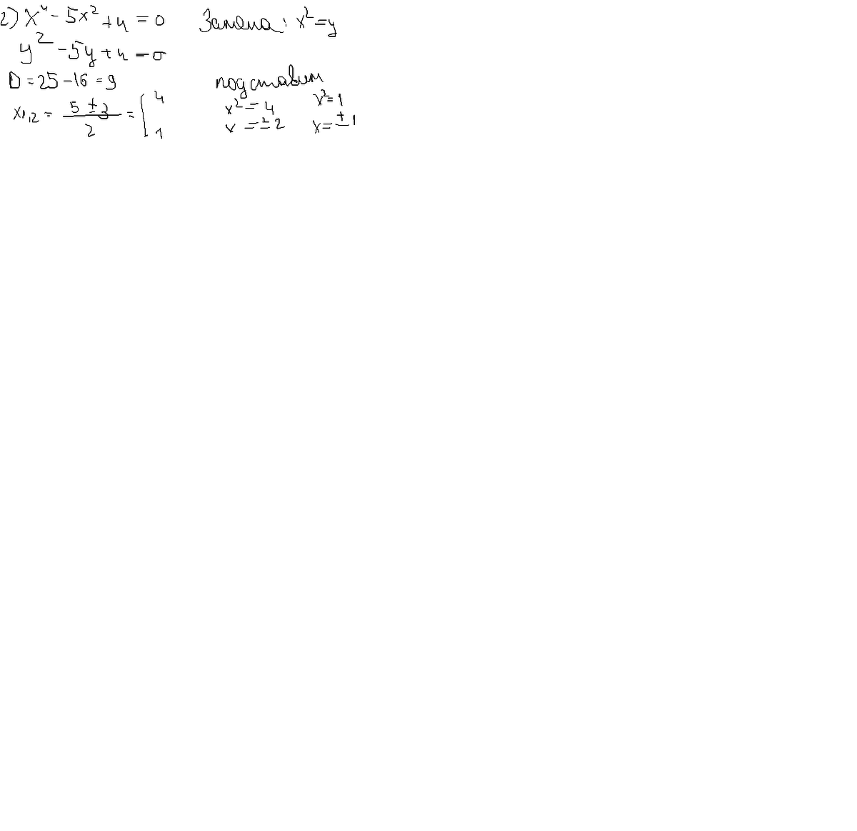
Ответы

Ответ дал: Тийка6
0
сейчас будет сделаю еще 4


Приложения:
Вас заинтересует