Ответы
Ответ дал:
0
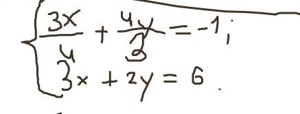
умножаем 1 строчку на 12
9x+16y=-12
3x+2y=6 умножь на (-3)
9x+16y=-12
-9x-6y=-18
метод сложения
10y=-30
y=-3
3x+3*(-3)=6
x=4
9x+16y=-12
3x+2y=6 умножь на (-3)
9x+16y=-12
-9x-6y=-18
метод сложения
10y=-30
y=-3
3x+3*(-3)=6
x=4
Вас заинтересует
3 года назад
3 года назад
8 лет назад
10 лет назад
10 лет назад