Ответы
Ответ дал:
0
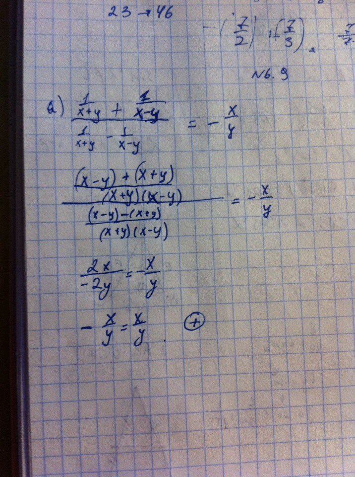
Если что, там где большие дроби превращаются в маленькие - там все сокращается, так что сильно не удивляйся. Если что - спрашивай
Приложения:


Ответ дал:
0
А откуда 2х. Мне кажется здесь сокращается.
Ответ дал:
0
Где именно?)
Ответ дал:
0
Нет нет все я разобрался
Ответ дал:
0
Большое спасибо
Вас заинтересует
2 года назад
7 лет назад
7 лет назад