Ответы
Ответ дал:
0
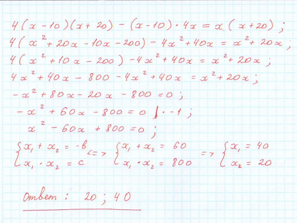
(x-10)(4x+80-4x)=x(x+20)
80(x-10)-x(x+20)=0
80x-800-x²-20x=0
x²-60x+800=0
x1+x2=60 U x1*x2=800
x1=40 U x2=20
80(x-10)-x(x+20)=0
80x-800-x²-20x=0
x²-60x+800=0
x1+x2=60 U x1*x2=800
x1=40 U x2=20
Ответ дал:
0
благодарочка!!!
Ответ дал:
0
сделала
Ответ дал:
0
Решение:.....................................
Приложения:

Ответ дал:
0
спасибо!!!)))
Вас заинтересует
2 года назад
2 года назад
7 лет назад
7 лет назад
10 лет назад
10 лет назад