• Предмет: Геометрия
  • Автор: Дарина0898
  • Вопрос задан 11 лет назад

в СОДЕРЖАНИИ!) ****************************

Приложения:

Ответы

Ответ дал: malgorzataa1
0

 

 

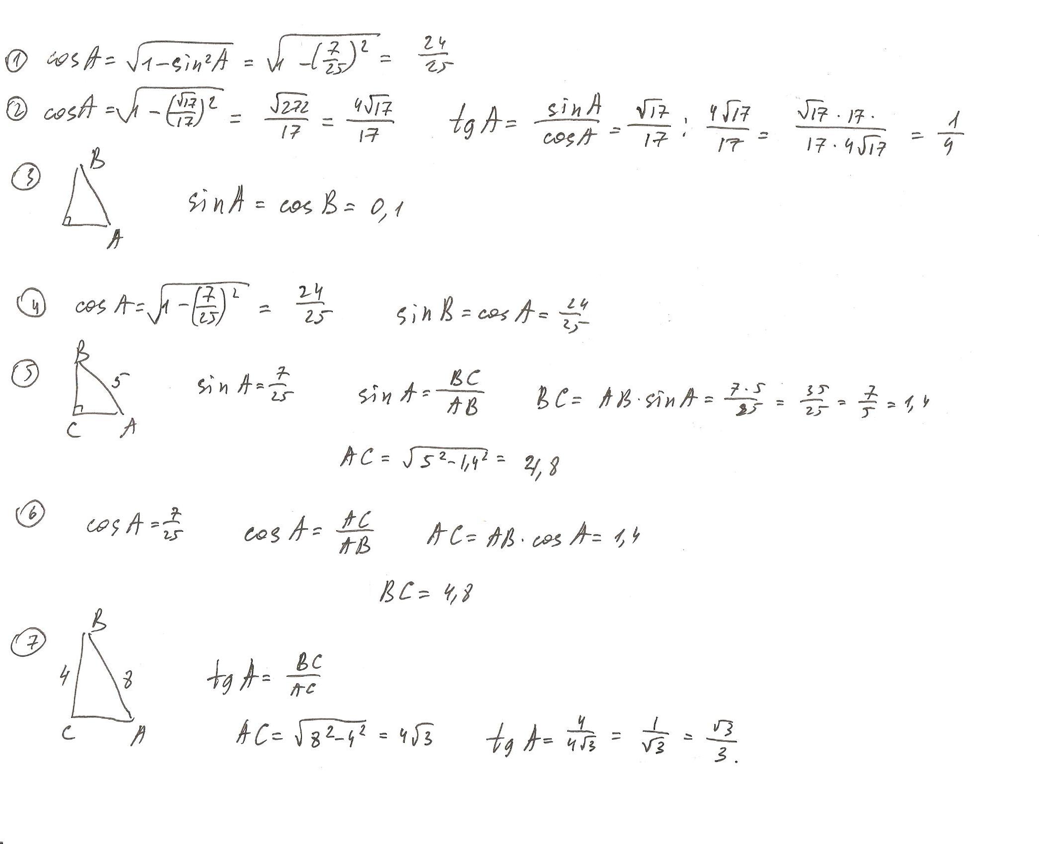
Задача 1. 

 

sin^2 alpha + cos^2 alpha = 1 

49/625+ cos^2 A=1

cos^2=576/625

cos / A=24/25

Ответ: 24/25.

 

Задача 2.

  sin^2 alpha + cos^2 alpha = 1

17289 + cos^2 A = 1 

cos^2/A=16/17

cos/A=4/корень из 17

tg A = sin A/cos A=корень из 17/17 / 4/корень из 17

tg A= 17/68=1/4=0,25

Ответ: 0,25

 

Задача 3.

 

sin A= BC/AB=0,1

cos B=BC/AB => cos B = sin A=0, 1

Ответ: 0,1

 

 Задача 4. 

 

sin^2 alpha + cos^2 alpha = 1 

49/625+ cos^2 A=1

cos^2=576/625

cos / A=24/25

cos A=AC/AB=24/25

sin B=AC/AB=> sin B=24/25

Ответ: 24/25.

 

Задача 5.

 sin A=CB/AB=7/25

CB/5=7/25

CB=1,4

По теореме Пифагора (не буду расписывать) находим AC.

AC=4,8

Ответ: 4,8

 

Задача 6.

cos A=AC/AB=7/25

AC/5=7/25

AC=1,4

По теореме Пифагора находим BC

BC=4,8

Ответ: 4,8

 

 

Задача 7.

 

По теореме Пифагора найдем AB. 

AB^2=64+16=80

AB=2корень из 10

sin A=CB/AB=4/2корень из 10=2/корень из 10

cos A=AC/AB=8/2корень из 10=4/корень из 10

tg A=sin A/cos A=0,5

Ответ: 0,5

 

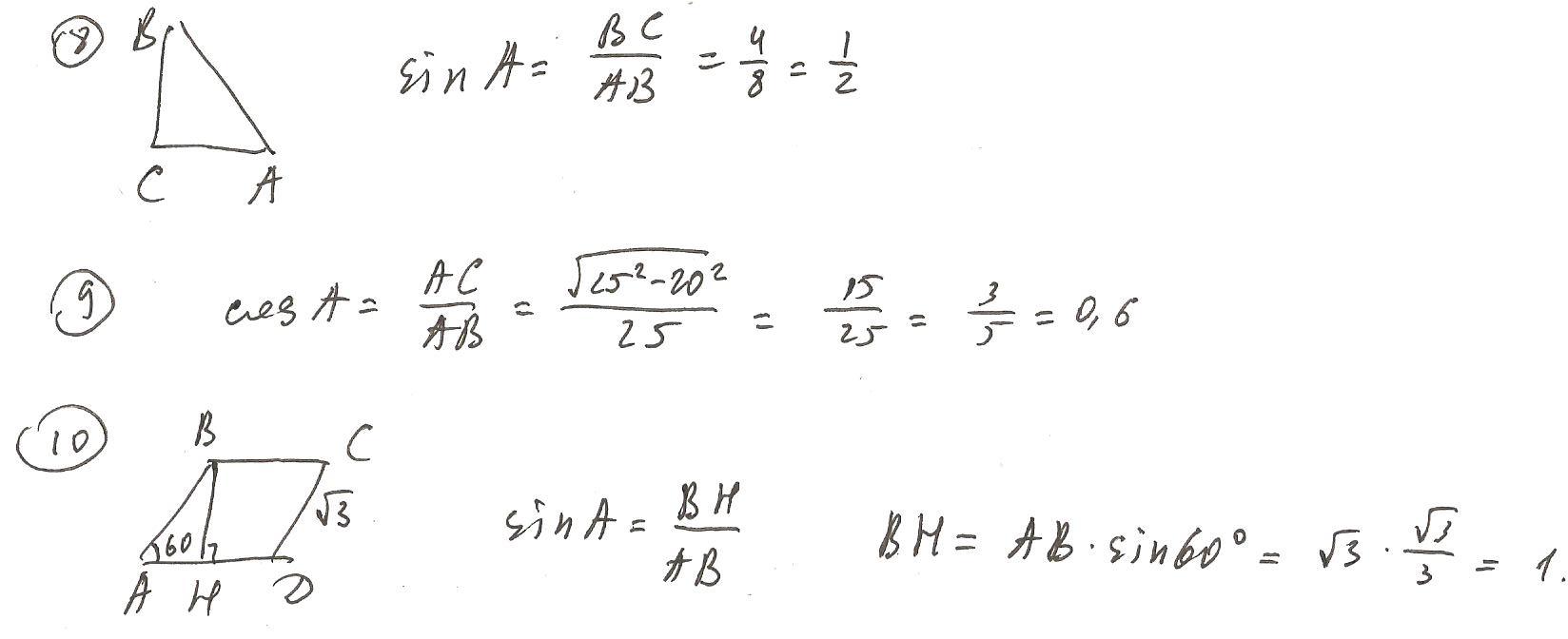
Задача 8.

sin A=BC/AB=4/8=1/2=0,5

Ответ: 0,5

 

 

 Задача 9.

По теореме Пифагора найдем AC.

AC^2=225

AC=15

cos A = AC/AB=15/25=3/5=0,6

Ответ: 0,6

 

Задача 10. 

В ромбе все стороны равны. Мы провели высоту AD. Рассмотрим треугольник ABD. <ABD=60 по условию, <D=90=> <BAD = 30. BD = Корень из 3/2 как катет лежащий против угла в 30 градусов. 

По теореме Пифагора найдем высоту. 

Квадрат гипотенузы равен 3, квадрат другого катета 3/4=>квадрат высоты AD=9/4 => AD=3/2

Ответ: 3/2

 

 

 

 

 

 

 

 

 

 

 

 

 

 

 

 

 

 

 

 

 

 

 

 

 

 

 

 

 

 

 

 

 

 

 

 

 

 

 

 

 

 

 

 

 

 

 

 

 

 

 

 

 

 

 

 

 

 

 

 

 

 

 

 

 

 

 

 

 

 

 

 

 

 

 

Ответ дал: Artem112
0

надеюсь будет понятно....

Приложения:
Вас заинтересует