Помогите написать на C# уравнение!! Вычислить значение выражения y. Организуйте диалог программы с пользователем для ввода необходимых данных.
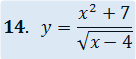
y= (x^2+7)/√(x-4)
Приложения:

Ответы
Ответ дал:
0
static void Main(string[] args)
{
Double x, y;
Console.WriteLine("Введите x");
x = Double.Parse(Console.ReadLine());
if (x <= 4)
Console.WriteLine("Корень не извлекается");
else
{
y = (x * x + 7) / (Math.Sqrt(x - 4));
Console.WriteLine("y = " + y);
}
Console.ReadKey();
}
{
Double x, y;
Console.WriteLine("Введите x");
x = Double.Parse(Console.ReadLine());
if (x <= 4)
Console.WriteLine("Корень не извлекается");
else
{
y = (x * x + 7) / (Math.Sqrt(x - 4));
Console.WriteLine("y = " + y);
}
Console.ReadKey();
}
Ответ дал:
0
А если х < 4 ?
Ответ дал:
0
минус под корнем будет, могу модуль поставить
Ответ дал:
0
y=(x*x+7)/(Math.Sqrt(Math.Abs(x-4)));
Ответ дал:
0
А если х = 4?
Вас заинтересует
2 года назад
2 года назад
7 лет назад
7 лет назад
10 лет назад