• Предмет: Алгебра
  • Автор: tdzhura
  • Вопрос задан 10 лет назад

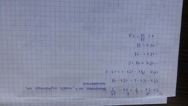
3x-2x-1/5=3x-19/5
как решить дробное уравнение?

Ответы

Ответ дал: Dasha222
0
Я думаю, что я ответила на твой вопрос
Приложения:
Ответ дал: tdzhura
0
я некорректно написала уравнение: 3x-(2x-1)/5, где 2x-1 числитель, а 5 знаменатель = (3x-19)/5, где 3x-19 числитель, а 5 знаменатель  
Ответ дал: tdzhura
0
пожалуйста, если сможете решите еще раз с учетом уточнений
Вас заинтересует