Ответы
Ответ дал:
0
х²+рх+q=0
теорема виетта
х1+х2=-p
х1*х2=q
это примеры!!!!!
апример х²-7х-8=0
а=1 в=-7 с=-8
х1+х2=7
х1*х2=-8
значит корни х1=-1, х2=8
ну или так
х1-9х+20
х1+х2=9
х1*х2=20⇒х1=4, х2=5
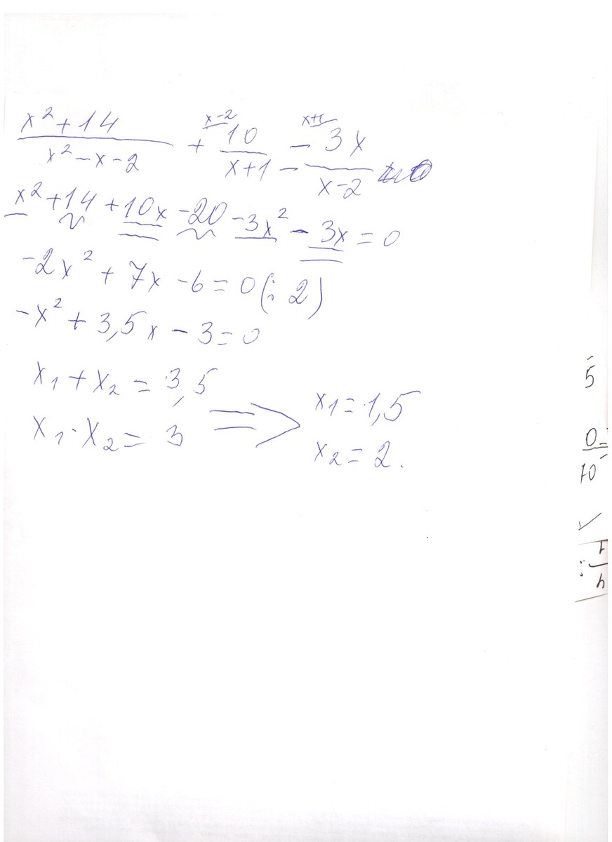
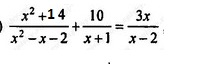
в твоем задании х1=1,5 х2=3
дети, файлы надо владывать с решением а то пишешь помогите теорема Виета......решаем рассказываем, а потом ты вкладываешь фаил
в фаиле решение твоего задания!!!!!!Следующий раз будь внимательнее
Приложения:

Вас заинтересует
2 года назад
2 года назад
8 лет назад
8 лет назад
10 лет назад
10 лет назад