• Предмет: Математика
  • Автор: 6764587
  • Вопрос задан 10 лет назад

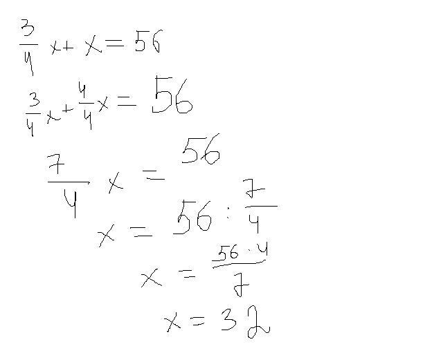
Решите уравнение,пожалуйста!

3/4х+х=56.

Ответы

Ответ дал: darpla
0
решение в приложенном файле
Приложения:
Ответ дал: 6764587
0
Спасибо!
Вас заинтересует