• Предмет: Алгебра
  • Автор: alexei1919
  • Вопрос задан 10 лет назад

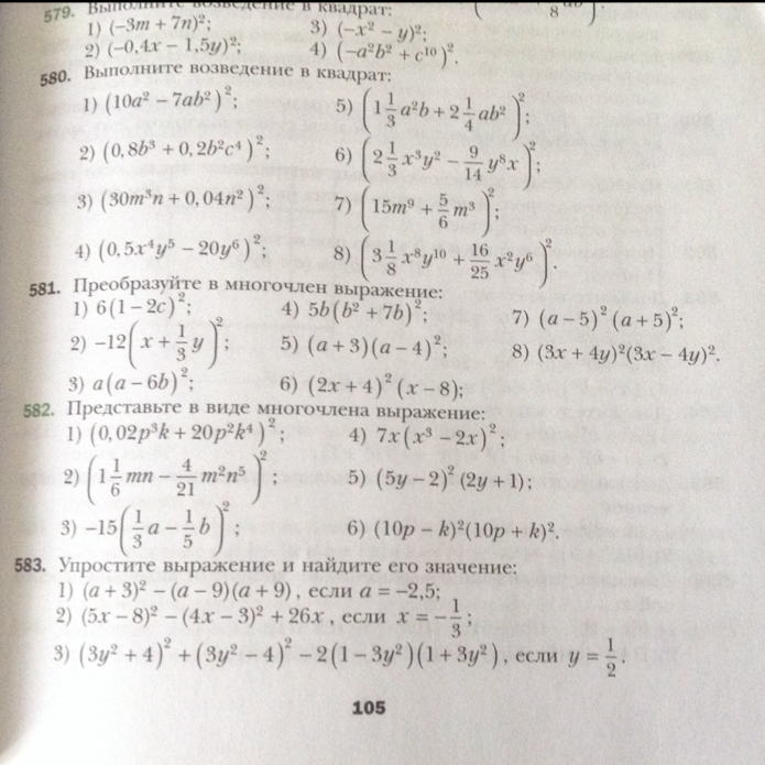
#582 представьте в виде многочлена выражение: (и полностью решение)

Приложения:

Ответы

Ответ дал: ann2003nn
0
1)0,04 р^12к^2+400р^4к^8 2) 1 13/36м^2n^2+ 16/441m^4n^10 3) -1 2/3a^2+3/5b^2 4) 7x^7+28x^3 5) 50y^3+25y^2+8y+4 6)10000p^4+100p^2k^2-100p^2k^2-k^4=10000p^4-k^4 Вроде бы все,но советую поверить. Была рада помочь Желаю удачи
Вас заинтересует