• Предмет: Алгебра
  • Автор: StreetStyleGirl
  • Вопрос задан 10 лет назад

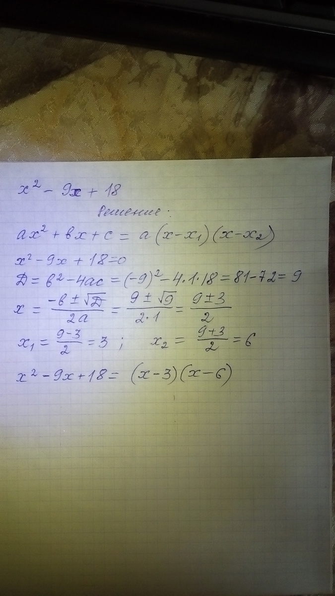
Разложите на множители многочлен

Приложения:

Ответы

Ответ дал: ВладимирБ
0
Решение смотри в приложении
Приложения:
Ответ дал: chilibogovarovo
0
Здесь разложение квадратного трехчлена
Приложения:
Вас заинтересует