• Предмет: Математика
  • Автор: lyrew
  • Вопрос задан 10 лет назад

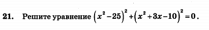
Решите уравнение. Подробно

Приложения:

Ответы

Ответ дал: ВладимирБ
0
решение смотри в приложении
Приложения:
Вас заинтересует