Ответы
Ответ дал:
0
Конечно... Очень странное задание. Любое решение выглядит весьма некрасиво(
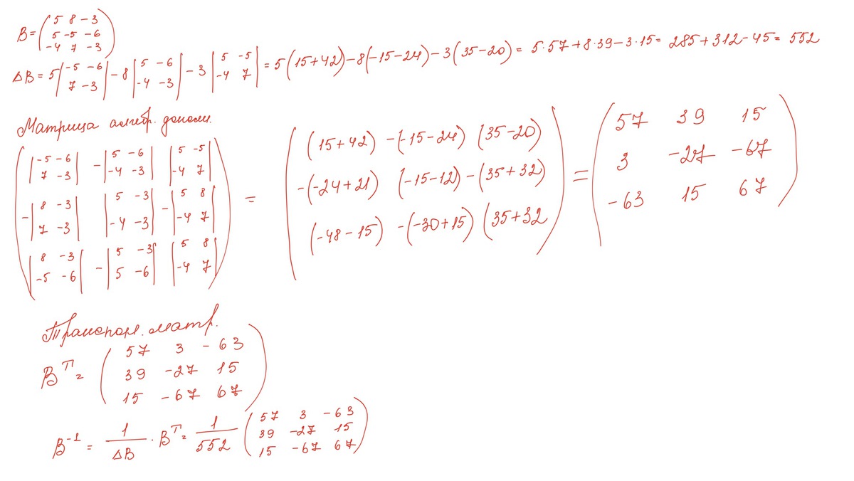
Приложения:

Ответ дал:
0
Благодарю Вас за помощь! :) Сегодня вы меня выручаете уже в какой раз. ;-)
Ответ дал:
0
Ну не знаю, выбирать в качестве лучшего решение с очевидной ошибкой... Но все равно, спасибо)
Ответ дал:
0
решение смотри во вложении
Приложения:

Ответ дал:
0
Было правильно, если бы в условии b3,1 был 4, а не -4. А так...
Вас заинтересует
2 года назад
7 лет назад
7 лет назад
10 лет назад
10 лет назад
10 лет назад