• Предмет: Алгебра
  • Автор: nikatsibuliaeva
  • Вопрос задан 10 лет назад

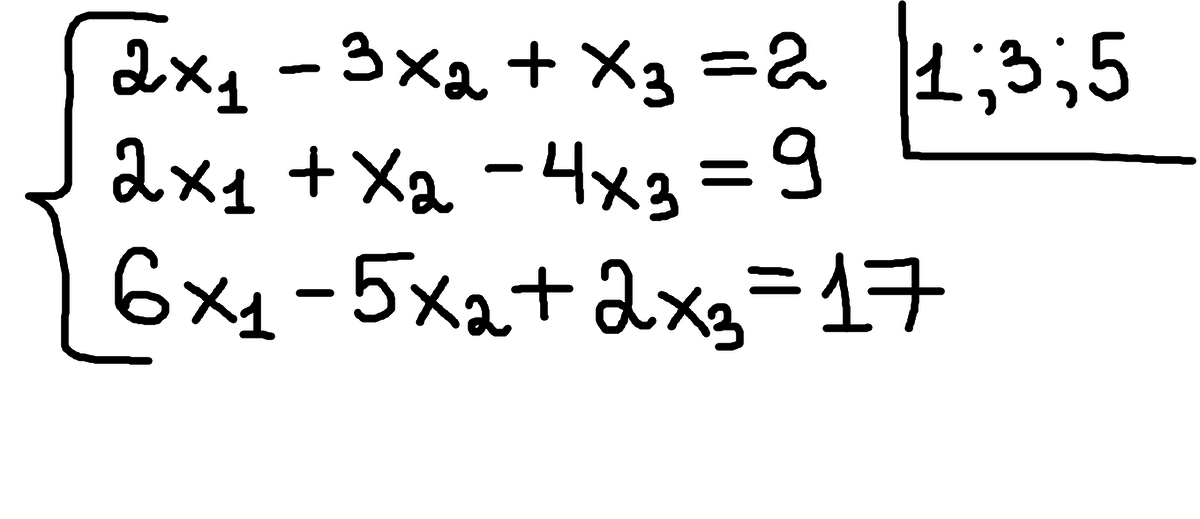
РЕШИТЬ СИСТЕМУ ЛИНЕЙНЫХ УРАВНЕНИЙ МЕТОДОМ ГАУССА:

Приложения:

Ответы

Ответ дал: Valtera
0
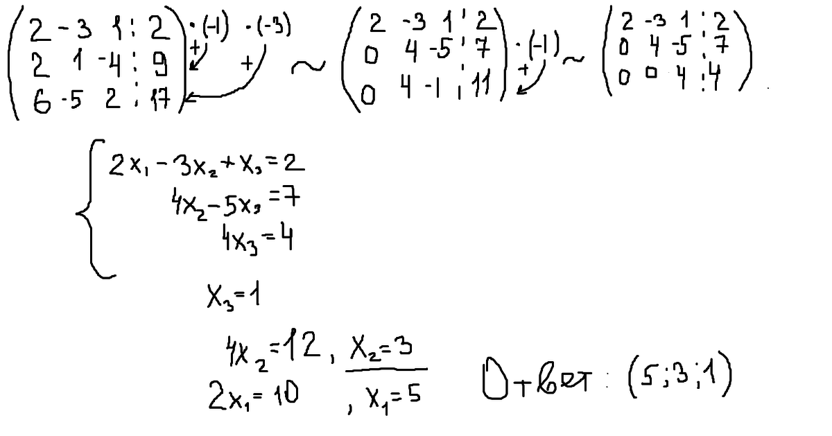
Решение в приложении.
*************
Приложения:
Вас заинтересует