• Предмет: Алгебра
  • Автор: nikatsibuliaeva
  • Вопрос задан 10 лет назад

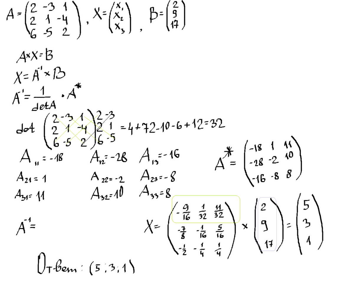
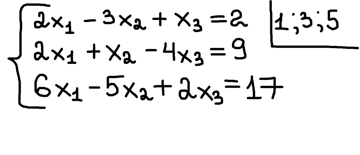
РЕШИТЬ СИСТЕМУ ЛИНЕЙНЫХ УРАВНЕНИЙ МАТРИЧНЫМ МЕТОДОМ (С ПОМОЩЬЮ ОБРАТНОЙ МАТРИЦЫ):

Приложения:

Ответы

Ответ дал: Valtera
0
Решение в приложении.
************
Приложения:
Ответ дал: nikatsibuliaeva
0
Благодарю вас за помощь!!! =)
Вас заинтересует