Ответы
Ответ дал:
0
решение смотри во вложении
Приложения:

Ответ дал:
0
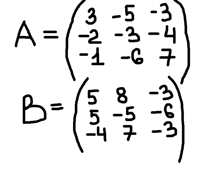
3 -5 -3 0 -23 18 0 -23 18
и = -2 -3 -4
—
-2 -3 -4
=
0 9
-18
= (-і)(-і)3+І
-23 18
9 -18
-1 -6 7 -1 -6 7 -1 -6 7
= -(23x18-9x18)
Сначала 3-ю строку умножили на 3 и сложили с первой строкой, результат - в первую
потом 3-ю строку умножили на -2 и сложили со второй строкой, результат - во вторую.
5 8 - 3
= 5х5хЗ + 8х6х4 - 5x7x3 +4х5хЗ+5х6х7 + 8x5x3 = 552
и =
5 -5 -6
-4 7 -З
= -252
и = -2 -3 -4
—
-2 -3 -4
=
0 9
-18
= (-і)(-і)3+І
-23 18
9 -18
-1 -6 7 -1 -6 7 -1 -6 7
= -(23x18-9x18)
Сначала 3-ю строку умножили на 3 и сложили с первой строкой, результат - в первую
потом 3-ю строку умножили на -2 и сложили со второй строкой, результат - во вторую.
5 8 - 3
= 5х5хЗ + 8х6х4 - 5x7x3 +4х5хЗ+5х6х7 + 8x5x3 = 552
и =
5 -5 -6
-4 7 -З
= -252
Вас заинтересует
2 года назад
7 лет назад
10 лет назад
10 лет назад
10 лет назад