• Предмет: Алгебра
  • Автор: Enna11
  • Вопрос задан 10 лет назад

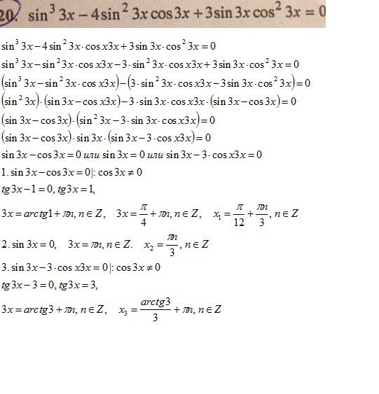
20 в кружочке
Однородное тригонометрическое уравнение

Приложения:

Ответы

Ответ дал: kirichekov
0
решение во вложении------------------------------
Приложения:
Вас заинтересует