Ответы
Ответ дал:
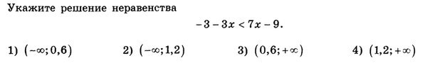
0
-3x-7x<-9+3
-10x<-6
x>6/10 поменяли знак
х>0,6
правильный ответ под цыфрой 3
-10x<-6
x>6/10 поменяли знак
х>0,6
правильный ответ под цыфрой 3
Вас заинтересует
3 года назад
8 лет назад
8 лет назад
10 лет назад
10 лет назад